Unisil Sp. z o.o.

Przedsiębiorstwo Innowacyjno-Wdrożeniowe

Związki krzemu - najnowsze technologie produkcji

SiCube

SiCube to nowa marka produktów opracowana przez firmę Unisil, która posiada bogate doświadczenie w produkcji organofunkcyjnych silanów. SiCube oferuje syntezę bazowych oraz funkcjonalizowanych silseskwioksanów z różnorodnymi ugrupowaniami, dostosowanymi do wymagań klientów.

Ze względu na ogromną ilość kombinacji, zarówno pod względem charakteru podstawników jak i substratów, oferujemy również syntezę „na zamówienie” (ang. custom synthesis).

Właściwości silseskwioksanów

Silseskwioksany są dużą klasą hybrydowych związków krzemoorganicznych. Często przyjmuje się, że są one najmniejszymi możliwymi, w pełni zdefiniowanymi jednostkami krzemionki, jednak w przeciwieństwie do niej, zawierają w swojej strukturze również podstawniki organiczne lub reaktywne grupy nieorganiczne.

Budowa silseskwioksanów opiera się na powtarzających jednostkach RSiO3/2, które mogą łączyć się ze sobą tworząc bardziej uporządkowaną strukturę o ogólnym wzorze [RSiO3/2]n, gdzie n=6, 8, 10. Ze względu na liczne zastosowania i łatwość modyfikacji to właśnie klatkowe, całkowicie skondensowane oktakubiczne silseskwioksany (RSiO3/2)8 są najczęściej badaną i wykorzystywaną grupą. Ostatnio wzrasta również znaczenie kompletnie skondensowanych silseskwioksanów typu double-decker (Schemat 1).

Schemat 1.

Synteza w pełni skondensowanych, klatkowych silseskwioksanów odbywa się zazwyczaj na drodze reakcji hydrolizy/kondensacji trichloro- lub trialkoksysilanów, względnie w wyniku kondensacji chlorosilanów z nieskondensowanymi, klatkowymi silanolami bądź silanolanami (Schemat 2).

Schemat 2.

Niekompletnie skondensowane, klatkowe silanole lub silanolany mogą być związkami o budowie otwartej lub zamkniętej i posiadać od jednej aż do ośmiu grup zdolnych do dalszej kondensacji (Schemat 3).

Schemat 3.

Silseskwioksany należą do tzw. związków hybrydowych, łączących cechy układów organicznych i nieorganicznych (Schemat 4). Fragment nieorganiczny stanowi sztywny, obojętny chemicznie rdzeń Si-O-Si będący szkieletem całej struktury, natomiast fragmentami organicznymi są podstawniki (grupy alkilowe, arylowe, alkenylowe, etc.) połączone z narożnymi atomami krzemu. Przy atomach krzemu mogą również znajdować się grupy reaktywne (np. Cl, OH), które umożliwiają dalszą bezpośrednią funkcjonalizację.

Schemat 4.

Obecność ugrupowań Si-O-Si w szkielecie silseskwioksanów zapewnia wysoką stabilność termiczną oraz chemiczną całego układu, natomiast podstawniki organiczne wpływają na takie parametry jak rozpuszczalność, gęstość, stan skupienia oraz kompatybilność w układach polimerowych i kompozytowych. Z kolei obecność reaktywnych podstawników pozwala na modyfikowanie silseskwioksanów przez tworzenie wiązań chemicznych z nowymi funkcjami organicznymi i metaloorganicznymi, bądź zaszczepianie w materiałach polimerowych. Całość tworzy dokładnie zdefiniowaną, trójwymiarową strukturę o wymiarach nanometrycznych.

Dokładnie zdefiniowany rozmiar silseskwioksanów, a także możliwość tworzenia bezpośrednich wiązań (lub oddziaływań) z polimerami sprawiają, że są one wysoce efektywnymi nanonapełniaczami. Wpływają na wiele właściwości materiałów polimerowych i kompozytyowych, m. in. rozszerzenie temperatury pracy polimeru, wzrost odporności na utlenianie, wzrost ogniotrwałości, podniesienie temperatury dekompozycji i zeszklenia oraz obniżenie lepkości. Związane jest to nie tylko z ich nanometrycznymi rozmiarami, ale także z obecnością organofunkcyjnych podstawników, które połączone są ze szkieletem tlenowo-krzemowym.

Główne kierunki zastosowań silseskwioksanów

Produkty Unisil: silseskwioksany

monofunkcyjne

Nr katalogowy
SC-MONO-001 Mono(winylo)hepta(izobutylo)silseskwioksan
SC-MONO-002 Mono(styrylo)hepta(izobutylo)oktasilseskwioksan
SC-MONO-003 Mono(4-metylostyrylo)hepta(izobutylo)oktasilseskwioksan
SC-MONO-004 Mono(4-trifluorometylostyrylo)hepta(izobutylo)oktasilseskwioksan
SC-MONO-005 Mono(4-chlorostyrylo)hepta(izobutylo)oktasilseskwioksan
SC-MONO-006 Mono(4-bromostyrylo)hepta(izobutylo)oktasilseskwioksan
SC-MONO-007 Mono(4-metoksystyrylo)hepta(izobutylo)oktasilseskwioksan
SC-MONO-008 Mono(4-fenylostyrylo)hepta(izobutylo)oktasilseskwioksan
SC-MONO-009 Mono(4-(pentafluorofenylo)styrylo)hepta(izobutylo)oktasilseskwioksan
SC-MONO-010 Mono(4-(1-naftylo)styrylo)hepta(izobutylo)oktasilseskwioksan
SC-MONO-011 Mono(4-(9-antracenylo)styrylo)hepta(izobutylo)oktasilseskwioksan
SC-MONO-012 Mono(4-(tiofen-2-ylo)styrylo)hepta(izobutylo)oktasilseskwioksan
SC-MONO-013 Mono(2-(karbazo-9-ilo)etenylo)hepta(izobutylo)oktasilseskwioksan
SC-MONO-014 Mono(2-n-butoksyetenylo)hepta(izobutylo)oktasilseskwioksan
SC-MONO-015 Mono(winylodimetylosiloksy)hepta(izobutylo)oktasilseskwioksan
SC-MONO-016 Mono(dimetylosiloksy)hepta(izobutylo)oktasilseskwioksan
SC-MONO-017 Mono(2-(oksabicyklo[4.1.0]heptylo)etylo(dimetylosiloksy))hepta(izobutylo)oktasilseskwioksan
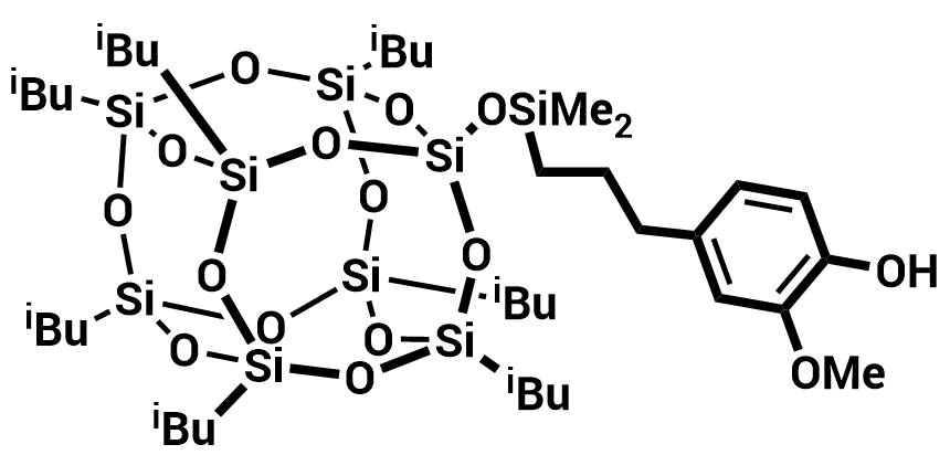
SC-MONO-018 Mono(2-metoksy-4-(3-dimetylosiloksy)propylohydroksybenzeno)hepta(izobutylo)oktasilseskwioksan
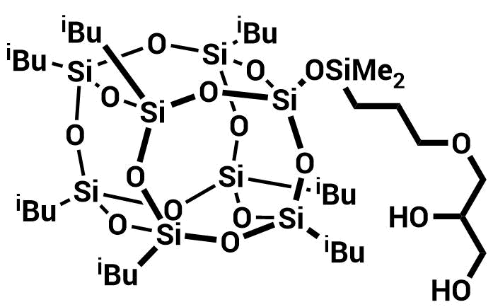
SC-MONO-019 Mono((3-hydroksypropylo)dimetylosiloksy)hepta(izobutylo)oktasilseskwioksan
SC-MONO-020 Mono((6,7-dihydroksy-4-oksaheptylo)(dimetylosiloksy))hepta(izobutylo)oktasilseskwioksan
SC-MONO-021 Mono((11-hydroksyundecylo)(dimetylosiloksy))hepta(izobutylo)oktasilseskwioksan
SC-MONO-022 Mono((3-glicydylopropoksy)(dimetylosiloksy))hepta(izobutylo)oktasilseskwioksan

SC-MONO-023

Mono(3-chloropropylodimetylosiloksy)hepta(izobutylo)oktasilseskwioksan

SC-MONO-024

Mono(3-chloropropylo)hepta(izobutylo)oktasilseskwioksan

SC-MONO-025

Mono(3-aminopropylo)hepta(izobutylo)oktasilseskwioksan

SC-MONO-026

Mono(3-tiocyjanianopropylo)hepta(izobutylo)oktasilseskwioksan

SC-MONO-027

Mono(3-acetoksypropylo)hepta(izobutylo)oktasilseskwioksan

SC-MONO-028

Mono(3-metakryloksypropylo)hepta(izobutylo)oktasilseskwioksan

SC-MONO-029

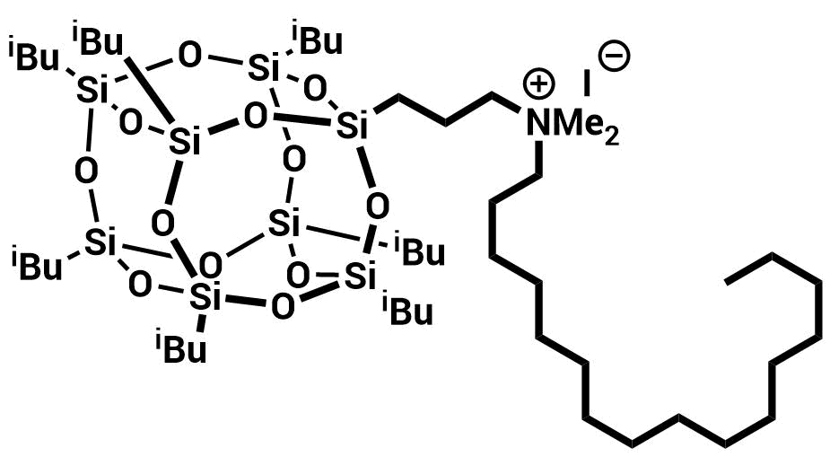
Jodek hepta(izobutylo)oktasilseskwioksano[3-(dimetylo(2-hydroksyetylo)propyloamoniowy]

SC-MONO-030

Jodek hepta(izobutylo)oktasilseskwioksano[3-(dimetyloheksadecylo)propyloamoniowy]

niekompletnie skondensowane

Nr katalogowy

SC-TRISILANOL-001

1,3,5,7,9,11,14-Heptaizobutylo-2,4,6,8,10,12,13,15,16-nonaoksa-1,3,5,7,9,11,14-heptasilatricyklo[7.3.3.15,11]heksadekano-3,7,14-triol

oktafunkcyjne

Nr katalogowy

SC-OKTA-001

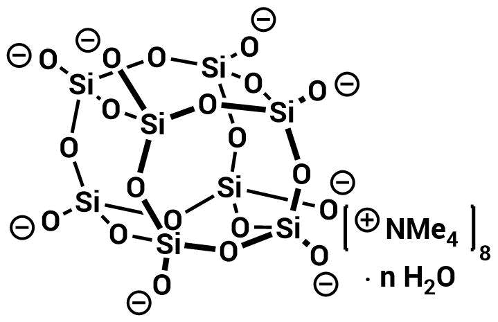
Oktasilseskwioksanooktasilanolan tetrametyloamoniowy

SC-OKTA-002

Oktakis(dimetylowodorosiloksy)oktasilseskwioksan [Wodorosferokrzemian]

SC-OKTA-003

Oktakis(heksylodimetylosiloksy)oktasilseskwioksan

SC-OKTA-004

Oktakis(dimetylooktadecylosiloksy)oktasilseskwioksan

SC-OKTA-005

Oktakis[dimetylo(2-metylocykloheks-3-en-1-ylo)propylosiloksy]oktasilseskwioksan

SC-OKTA-006

Oktakis[dimetylo(2-norborn-2-en-ylo)etylosiloksy]oktasilseskwioksan

SC-OKTA-007

Oktakis(N,N-dimetylo-3-propylodimetylosiloksy)oktasilseskwioksan

SC-OKTA-008

Oktakis[(3-glicydoksypropylo)dimetylosiloksy]oktasilseskwioksan

SC-OKTA-009

Oktakis[(2-(3,4-epoksycykloheksyl-1-o)etylo)dimetylosiloksy]oktasilseskwioksan

SC-OKTA-010

Oktakis[(3-(tiiran-2-yloksy)propylo)dimetylosiloksy]oktasilseskwioksan

SC-OKTA-011

Oktakis(3-acetoksypropylodimetylosiloksy)oktasilseskwioksan

SC-OKTA-012

Oktakis{2-[(trietoksysililo)etylo]dimetylosiloksy}oktasilseskwioksan

SC-OKTA-013

Oktakis {[2-(3-(2-izocyjanianopropan-2-ylo)-5-metylofenylopropylo]dimetylosiloksy}oktasilseskwioksan

SC-OKTA-014

Oktakis[3-(1,1,2,2,3,3,4,4-oktafluoropentyloksy)propylodimetylosiloksy]oktasilseskwioksan [Fluorosilseskwioksan]

SC-OKTA-015

Oktapochodne zawierające terminalne ugrupowania 2-hydroksyetyloeterowe

SC-OKTA-016

Oktapochodne zawierające terminalne grupy hydroksyalkilowe

SC-OKTA-017

Oktakis[(E)-styrylo]oktasilseskwioksan

SC-OKTA-018

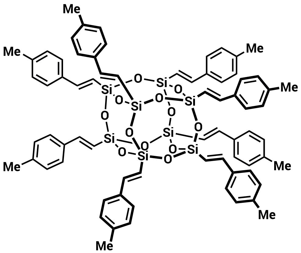
Oktakis[2-(4-metylofenylo)etenylo]oktasilseskwioksan

SC-OKTA-019

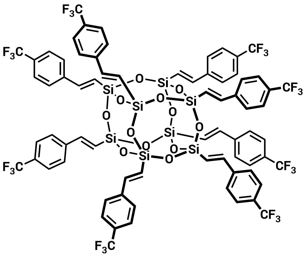
Oktakis[2-{4-(trifluorometylo)fenylo}etenylo)oktasilseskwioksan

SC-OKTA-020

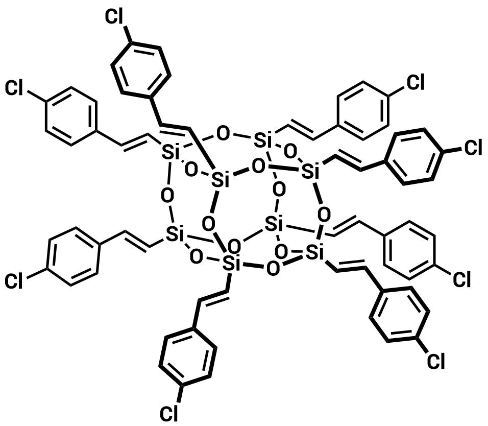
Oktakis[2-(4-chlorofenylo)etenylo]oktasilseskwioksan

SC-OKTA-021

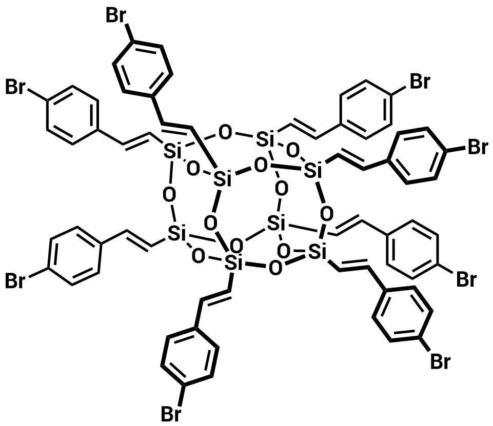
Oktakis[2-(4-bromofenylo)etenylo]oktasilseskwioksan

SC-OKTA-022

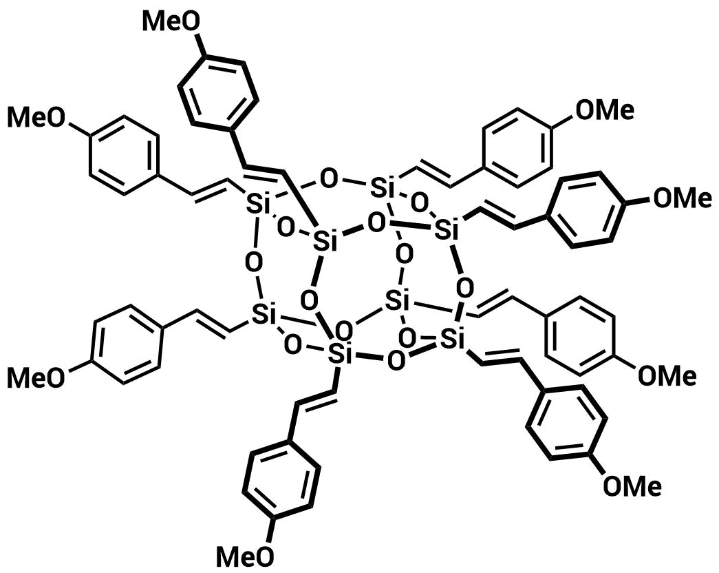
Oktakis[2-(4-metoksyfenylo)etenylo]oktasilseskwioksan

SC-OKTA-023

Oktakis[4-(1,1’-bifenylo)etenylo]oktasilseskwioksan

SC-OKTA-024

Oktakis{2-[4-(1,2,3,4,5-pentafluorofenylo)fenylo]etenylo}oktasilseskwioksan

SC-OKTA-025

Oktakis(dimetylowinylosiloksy)oktasilseskwioksan [Winylosferokrzemian]

SC-OKTA-026

Oktakis(3-chloropropylo)oktasilseskwioksan

typu double-decker

Nr katalogowy

SC-DDSQ-001

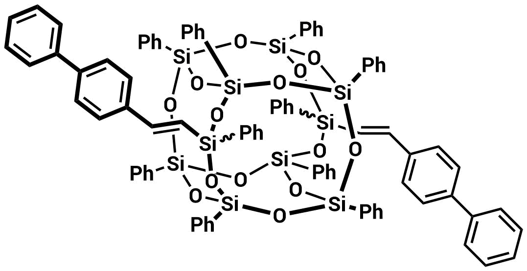
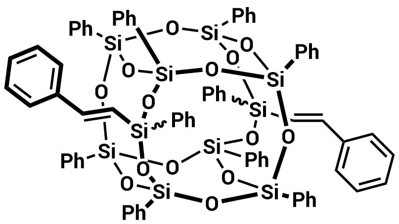
9,19-Fenylo[(E)-styrylo]okta(fenylo)dekasilseskwioksan

SC-DDSQ-002

9,19-Fenylo[2-{4-(trifluorometylo)fenyl}etenylo]okta(fenylo)dekasilseskwioksan

SC-DDSQ-003

9,19-Fenylo[2-(4-chlorofenylo)etenylo]okta(fenylo)dekasilseskwioksan

SC-DDSQ-004

9,19-Fenylo[2-(4-bromofenylo)etenylo]okta(fenylo)dekasilseskwioksan

SC-DDSQ-005

9,19-Fenylo[2-(4-metoksyfenylo)etenylo]okta(fenylo)dekasilseskwioksan

SC-DDSQ-006

9,19-Fenylo[4-(1,1’-bifenylo)etenylo]okta(fenylo)dekasilseskwioksan

SC-DDSQ-007

9,19-Fenylo{2-[4-(1,2,3,4,5-pentafluorofenylo)fenylo]etenylo}okta(fenylo)dekasilseskwioksan

SC-DDSQ-008

9,19-(4-Metoksyfenylo)[(E)-styrylo]okta(fenylo)dekasilseskwioksan

SC-DDSQ-009

9,19-(4-metoksyfenylo)[2-(4-chlorofenylo)etenylo]okta(fenylo)dekasilseskwioksan

SC-DDSQ-010

9,19-(4-Metoksyfenylo)[2-(4-bromofenylo)etenylo]okta(fenylo)dekasilseskwioksan

SC-DDSQ-011

9,19-(4-Metoksyfenylo)[2-{4-(trifluorometylo)fenylo} etenylo]okta(fenylo)dekasilseskwioksan

SC-DDSQ-012

9,19-(4-Metoksyfenylo)[2-(4-metoksyfenylo)etenylo]okta(fenylo)dekasilseskwioksan

SC-DDSQ-013

9,19-(4-Metoksyfenylo)[4-(1,1’-bifenylo)etenylo]okta(fenylo)dekasilseskwioksan

SC-DDSQ-014

9,19-(4-metoksyfenylo){2-[4-(1,2,3,4,5-pentafluorofenylo)fenylo]etenylo}okta(fenylo)dekasilseskwioksan

Unisil Sp. z o.o.
ul. Kwiatkowskiego 8, 33-100 Tarnów
Tel: +48 14 637 46 75, Fax: +48 14 637 30 39, e-mail: sekretariat@unisil.pl


×



×
x

Polityka Prywatności