Unisil Sp. z o.o.

Przedsiębiorstwo Innowacyjno-Wdrożeniowe

Związki krzemu - najnowsze technologie produkcji

Nr katalogowy: SC-MONO-018

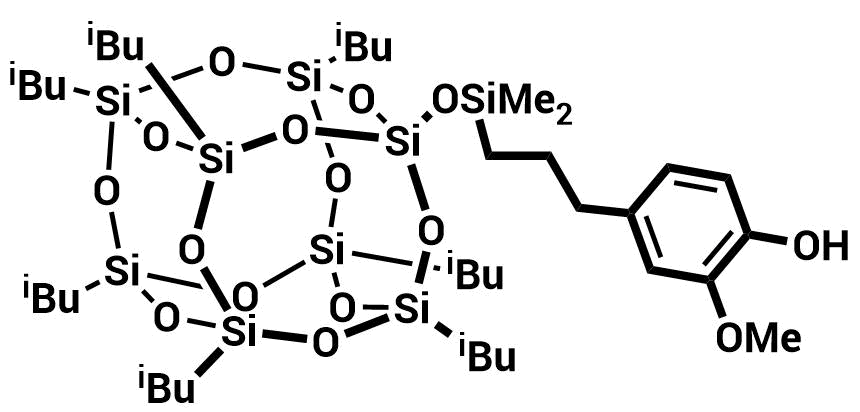
Mono(2-metoksy-4-(3-dimetylosiloksy)propylohydroksybenzeno)hepta(izobutylo)oktasilseskwioksan



Wzór sumaryczny: C40H82O15Si9

Ciężar cząsteczkowy [g/mol]: 1055,85

Kolor, wygląd: biały proszek

Rozpuszczalność: heksan, THF, eter dietylowy, toluen, chloroform

Nierozpuszczalny w: metanol, acetonitryl

Zastosowanie:

Stosowany w syntezie i modyfikacji polimetakrylanów. Poprawia właściwości finalnych materiałów, tj. wytrzymałość, twardość, odporność termiczną, odporność na wilgoć. Stosowany jako składnik utwardzanych światłem UV wypełnień dentystycznych.


Literatura:

M. Walczak, A. Franczyk, B. Marciniec, Chem. Asian J., 2018, 13, 181



Unisil Sp. z o.o.
ul. Kwiatkowskiego 8, 33-100 Tarnów
Tel: +48 14 637 46 75, Fax: +48 14 637 30 39, e-mail: sekretariat@unisil.pl


×



×